变风量空调负荷及送风量计算
发布日期:2019-07-01 12:16 点击:
冷负荷计算
冷负荷计算的目的,是为了确定建筑物每一模数,或每一房间的最大负荷量,进而求得它们需要的最大送风量。在此基础上,再求得整个系统,乃至整幢建筑物所需要的负荷量。
由于变风量系统能够为单台末端装置,或一群末端装置提供温度控制,所以,在模数化的建筑物内应用这种系统非常合理,因此,要计算单个建筑模数的冷负荷。但如果建筑平面几何形状不规则,难以模数化,则应逐个房间计算冷负荷。
冷负荷的计算方法多种多样,可以用传统的手算法,但更广泛使用的,应该是利用已有的程序,采用计算机进行计算。这里着重介绍冷负荷系数计算法。在应用这一计算方法时,透过玻璃窗的日射得热,引起的冷负荷和外围护结构瞬变传热引起的冷负荷应分朝向逐时计算,而内部热源(如人员、灯光等)带给室内的得热造成的冷负荷,也应按冷负荷系数法进行计算。
1.单个房间(或单个建筑模数)的冷负荷计算
房间冷负荷包括来自太阳,传热、灯光、人员以及室内各种机械设备等散到室内的热量。在作变风量系统设计时,可先算单个房间的显热负荷,而潜热负荷和新风负荷则可作为建筑分区负荷或一个空调系统的负荷的一部分进行计算。
在作房间冷负荷计算时,应注意以下两点:
首先,当房间只有一个朝向的外围护结构时,该房间的最大冷负荷应是与该朝向外围护结构的瞬时最大得热相一致。这时,应取该朝向外围护结构的瞬时最大得热值。当房间有两个以上朝向的外围护结构时,则应计算各朝向围护结构的瞬时综合最大得热值。
其次,灯光和人体得热计算,其同时使用系数均应取1.0。
2.分区或分系统的冷负荷计算
变风量系统的最大优点,就在于它可以在建筑物的分区(或整幢建筑物)内、或在一个空调系统内,实现能量供应的自动转移,以符合实际的需要,从而节能。
分区负荷的计算,就像单个房间或单个模数的负荷计算一样,先作显热负荷计算,其显热负荷包括同时出现的太阳得热负荷、传热负荷、人员和灯光负荷(或各种设备产生的得热负荷)。利用这个显热负荷值,便能够计算出分区(或系统)所需要的送风量。
在有多个变风量系统的建筑物内,便会选有多台空气处理装置,每台装置的大小都是按其所服务范围的分区负荷(即系统负荷,这时应包括潜热负荷和新风负荷)来选择的。然后,计算整幢建筑物的综合最大负荷,用这个负荷值(除包括潜热负荷和新风负荷外,还包括风机和管道得热造成的冷负荷)去选择制冷设备。选择制冷设备时,应该留有一定的附加容量。
3.单个房间需要的送风量
每个房间在以夏季标准天作为室外条件进行的负荷计算中,可以在24小时逐时负荷中选出一个最大值,以此作为房间最大负荷,并在此基础上计算房间所需要的最大送风量。
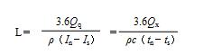
基本计算公式:

式中 L——送风量,m3/h;
Qq、Qx——空调送风所要吸收的全热余热和显热余热,W;
ρ——空气密度,kg/m3,可取ρ=1.2;
c——空气定压比热,kJ/kg·℃,可取c=1.01;
In、Is——室内空气焓值和送风状态空气焓值,kJ/kg;
tn、ts——室内空气温度和送风温度,℃。
通常而言,办公建筑物内,当房间有人使用,或者是在出现部分负荷的情况下,空调系统所提供的最小风量为13~14m3/h·m2较为合适。在人员很少的建筑物内,建议可将最小风量降低至11 m3/h·m2左右。一般情况下,内区房间的最大设计风量为22.5~18.5 m3/h·m2,周边区房间最大设计风量为22.5~27.0 m3/h·m2,在这样的设计风量下,即使房间出现最小负荷状态,只要房间里仍然有人员活动,灯也开启,则房间内仍可维持足够的循环空气量。
假如房间有必要的换气次数的要求,房间上部的送风系统又受到各种限制而布置不甚合理,所采用的变风量末端装置的调节性能又有限,那么,房间的最大送风量将会大于上述数值。但即使这样,最大送风量也应限制在37~45 m3/h·m2以下。
4. 负荷差异性
我们知道,一个变风量系统,其所有末端装置负荷总和,应该大于该系统的负荷值。同样,一幢设计有变风量系统的建筑物,其总负荷值也小于各分区负荷,或各系统负荷的总和。这就是变风量空调系统的负荷差异性。建筑物的大小、形状、方位及使用状况都会对其差异性程度产生影响。这种差异性在选择变风量系统的空气处理设备、风管尺寸、以及制冷设备时,是必须考虑的。
对一个较小的变风量系统,或实际上仅为内区服务的系统来说,这个差异是很小的,所需空气处理设备的容量有可能等于全部末端装置空气量总和的90%-95%。而对一个大系统来说,它既为内区服务,也为周边区服务时,这个差异量就会增加,甚至系统空气处理设备的容量,仅仅等于各个末端装置空气量总和的65%-70%。
一幢办公性质的建筑物,其内区的主要负荷是人员和灯光产生的负荷,这些负荷一天之中的变化程度取决于建筑物的使用情况。因此,办公性质的建筑物内区,负荷差异性很小。而相对一幢学校来说,其人员负荷会频繁变化,负荷差异性就相当大。
同样,在一幢大型建筑物里,它将会有多个变风量系统,需要多台空气处理装置,由一个集中的制冷机房供冷设备时,要再附加一个负荷差异值。
热负荷计算
在变风量系统中,太阳、灯光和人员的得热负荷都是冷负荷的一部分,而建筑物的唯一热负荷是由于外维护结构的传热和室外冷空气渗透所产生的。因此,变风量系统热负荷的计算方法与一般采暖热负荷或定风量系统热负荷计算方法一样,在此就不再叙述。按典型房间或典型模数来进行热负荷计算时,这种计算一般都会是重复的。由于基本热负荷与太阳得热没有关系,所以,按典型房间或典型模数计算求得的基本热负荷可以用于建筑物的各个朝向,这就使热负荷计算得以简化。当然,屋顶的传热损失在任何时候都要专门计算的。
热负荷的计算和和变风量方式以及相应的供热方式是密切相关的。与变风量系统相适应的供热方式主要有周边区的辅助供热系统、再热式变风量系统的供热、单风道变风量系统的供热和值班供热。因为供热的原理和所采取的手段各不相同。这时,传热的损失就要重点把握了。
送风量的计算
变风量系统应用于办公性建筑或学校建筑,因为这些建筑物的各个房间往往都要求对室温进行单独控制。但是,变风量系统并不仅限这些应用场合,还可以广泛的应用于商店、购物中心、图书馆、医院等各类民用建筑中,甚至还可以在某些工业建筑中使用,总之,凡可以采用全空气空调系统的地方,都可以采用变风量系统。
同任何一类空调系统一样,变风量系统的负荷及送风量应经过计算确定。一般说,当室内希望维持在24℃和相对湿度为50%时,对于一个玻璃窗面积占外围护结构面积30-40%、室内的灯光负荷为45-55W/m的房间来说,送风量保持在18-45m3/h·m之间,应该是足够的。
冷负荷计算的目的,是为了确定建筑物每一模数,或每一房间的最大负荷量,进而求得它们需要的最大送风量。在此基础上,再求得整个系统,乃至整幢建筑物所需要的负荷量。
由于变风量系统能够为单台末端装置,或一群末端装置提供温度控制,所以,在模数化的建筑物内应用这种系统非常合理,因此,要计算单个建筑模数的冷负荷。但如果建筑平面几何形状不规则,难以模数化,则应逐个房间计算冷负荷。
冷负荷的计算方法多种多样,可以用传统的手算法,但更广泛使用的,应该是利用已有的程序,采用计算机进行计算。这里着重介绍冷负荷系数计算法。在应用这一计算方法时,透过玻璃窗的日射得热,引起的冷负荷和外围护结构瞬变传热引起的冷负荷应分朝向逐时计算,而内部热源(如人员、灯光等)带给室内的得热造成的冷负荷,也应按冷负荷系数法进行计算。
1.单个房间(或单个建筑模数)的冷负荷计算
房间冷负荷包括来自太阳,传热、灯光、人员以及室内各种机械设备等散到室内的热量。在作变风量系统设计时,可先算单个房间的显热负荷,而潜热负荷和新风负荷则可作为建筑分区负荷或一个空调系统的负荷的一部分进行计算。
在作房间冷负荷计算时,应注意以下两点:
首先,当房间只有一个朝向的外围护结构时,该房间的最大冷负荷应是与该朝向外围护结构的瞬时最大得热相一致。这时,应取该朝向外围护结构的瞬时最大得热值。当房间有两个以上朝向的外围护结构时,则应计算各朝向围护结构的瞬时综合最大得热值。
其次,灯光和人体得热计算,其同时使用系数均应取1.0。
2.分区或分系统的冷负荷计算
变风量系统的最大优点,就在于它可以在建筑物的分区(或整幢建筑物)内、或在一个空调系统内,实现能量供应的自动转移,以符合实际的需要,从而节能。
分区负荷的计算,就像单个房间或单个模数的负荷计算一样,先作显热负荷计算,其显热负荷包括同时出现的太阳得热负荷、传热负荷、人员和灯光负荷(或各种设备产生的得热负荷)。利用这个显热负荷值,便能够计算出分区(或系统)所需要的送风量。
在有多个变风量系统的建筑物内,便会选有多台空气处理装置,每台装置的大小都是按其所服务范围的分区负荷(即系统负荷,这时应包括潜热负荷和新风负荷)来选择的。然后,计算整幢建筑物的综合最大负荷,用这个负荷值(除包括潜热负荷和新风负荷外,还包括风机和管道得热造成的冷负荷)去选择制冷设备。选择制冷设备时,应该留有一定的附加容量。
3.单个房间需要的送风量
每个房间在以夏季标准天作为室外条件进行的负荷计算中,可以在24小时逐时负荷中选出一个最大值,以此作为房间最大负荷,并在此基础上计算房间所需要的最大送风量。
基本计算公式:

式中 L——送风量,m3/h;
Qq、Qx——空调送风所要吸收的全热余热和显热余热,W;
ρ——空气密度,kg/m3,可取ρ=1.2;
c——空气定压比热,kJ/kg·℃,可取c=1.01;
In、Is——室内空气焓值和送风状态空气焓值,kJ/kg;
tn、ts——室内空气温度和送风温度,℃。
通常而言,办公建筑物内,当房间有人使用,或者是在出现部分负荷的情况下,空调系统所提供的最小风量为13~14m3/h·m2较为合适。在人员很少的建筑物内,建议可将最小风量降低至11 m3/h·m2左右。一般情况下,内区房间的最大设计风量为22.5~18.5 m3/h·m2,周边区房间最大设计风量为22.5~27.0 m3/h·m2,在这样的设计风量下,即使房间出现最小负荷状态,只要房间里仍然有人员活动,灯也开启,则房间内仍可维持足够的循环空气量。
假如房间有必要的换气次数的要求,房间上部的送风系统又受到各种限制而布置不甚合理,所采用的变风量末端装置的调节性能又有限,那么,房间的最大送风量将会大于上述数值。但即使这样,最大送风量也应限制在37~45 m3/h·m2以下。
4. 负荷差异性
我们知道,一个变风量系统,其所有末端装置负荷总和,应该大于该系统的负荷值。同样,一幢设计有变风量系统的建筑物,其总负荷值也小于各分区负荷,或各系统负荷的总和。这就是变风量空调系统的负荷差异性。建筑物的大小、形状、方位及使用状况都会对其差异性程度产生影响。这种差异性在选择变风量系统的空气处理设备、风管尺寸、以及制冷设备时,是必须考虑的。
对一个较小的变风量系统,或实际上仅为内区服务的系统来说,这个差异是很小的,所需空气处理设备的容量有可能等于全部末端装置空气量总和的90%-95%。而对一个大系统来说,它既为内区服务,也为周边区服务时,这个差异量就会增加,甚至系统空气处理设备的容量,仅仅等于各个末端装置空气量总和的65%-70%。
一幢办公性质的建筑物,其内区的主要负荷是人员和灯光产生的负荷,这些负荷一天之中的变化程度取决于建筑物的使用情况。因此,办公性质的建筑物内区,负荷差异性很小。而相对一幢学校来说,其人员负荷会频繁变化,负荷差异性就相当大。
同样,在一幢大型建筑物里,它将会有多个变风量系统,需要多台空气处理装置,由一个集中的制冷机房供冷设备时,要再附加一个负荷差异值。
热负荷计算
在变风量系统中,太阳、灯光和人员的得热负荷都是冷负荷的一部分,而建筑物的唯一热负荷是由于外维护结构的传热和室外冷空气渗透所产生的。因此,变风量系统热负荷的计算方法与一般采暖热负荷或定风量系统热负荷计算方法一样,在此就不再叙述。按典型房间或典型模数来进行热负荷计算时,这种计算一般都会是重复的。由于基本热负荷与太阳得热没有关系,所以,按典型房间或典型模数计算求得的基本热负荷可以用于建筑物的各个朝向,这就使热负荷计算得以简化。当然,屋顶的传热损失在任何时候都要专门计算的。
热负荷的计算和和变风量方式以及相应的供热方式是密切相关的。与变风量系统相适应的供热方式主要有周边区的辅助供热系统、再热式变风量系统的供热、单风道变风量系统的供热和值班供热。因为供热的原理和所采取的手段各不相同。这时,传热的损失就要重点把握了。
送风量的计算
变风量系统应用于办公性建筑或学校建筑,因为这些建筑物的各个房间往往都要求对室温进行单独控制。但是,变风量系统并不仅限这些应用场合,还可以广泛的应用于商店、购物中心、图书馆、医院等各类民用建筑中,甚至还可以在某些工业建筑中使用,总之,凡可以采用全空气空调系统的地方,都可以采用变风量系统。
同任何一类空调系统一样,变风量系统的负荷及送风量应经过计算确定。一般说,当室内希望维持在24℃和相对湿度为50%时,对于一个玻璃窗面积占外围护结构面积30-40%、室内的灯光负荷为45-55W/m的房间来说,送风量保持在18-45m3/h·m之间,应该是足够的。
相关新闻
- • led灯芯片品牌有哪些19-07-03
- • T5/T8 LED灯管参数19-07-03
- • 绿豪总风量法控制调试逻辑简介19-07-01
- • 绿豪定静压控制调试逻辑介绍19-07-01
- • 绿豪定静压控制法简介19-07-01
- • 风机水泵类负载关系19-07-01
推荐新闻
联系我们
